AL é um dos 6 estados sem irregularidades com recursos federais para Covid, diz CGU
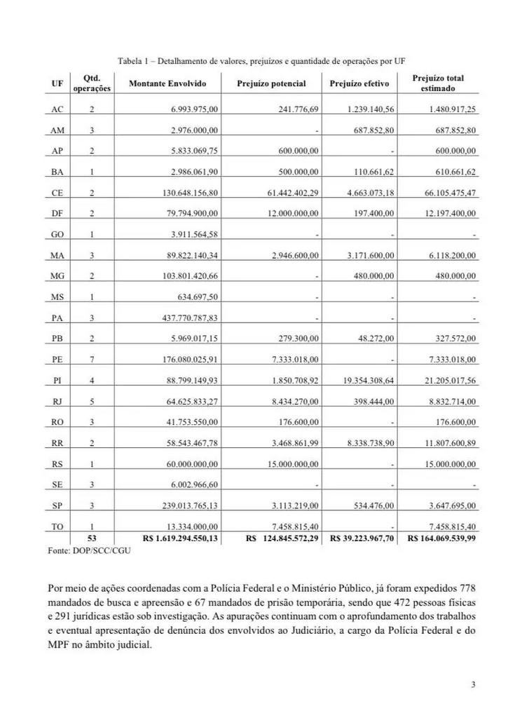
Documento encaminhado pela Controladoria-Geral da União (CGU) à CPI da Pandemia revela que o órgão apontou prejuízo potencial ao erário de R$ 164 milhões em 53 operações entre março de 2020 e abril de 2021 envolvendo possív...
Publicado em 26/05/2021, às 07h12
Edilson Rodrigues/Agência Senado
Por CNN Brasil
Documento encaminhado pela Controladoria-Geral da União (CGU) à CPI da Pandemia revela que o órgão apontou prejuízo potencial ao erário de R$ 164 milhões em 53 operações entre março de 2020 e abril de 2021 envolvendo possíveis irregularidades na utilização de recursos para o combate ao novo coronavírus.
O levantamento considerou recursos públicos federais utilizados “por estados, Distrito Federal, municípios, órgãos públicos e entidades privadas sem fins lucrativos, relacionadas ao enfrentamento da pandemia da Covid-19, com foco em situações de fraude e corrupção”.
Utilizamos cookies essenciais e tecnologias semelhantes de acordo com a nossa
Política de Privacidade e, ao continuar navegando,
você concorda com essas condições.