O Estado de Alagoas publicou no Diário Oficial desta quarta (17) o edital do Processo Seletivo Simplificado para a contratação temporária de profissionais para o Hospital da Mulher. As inscrições serão realizadas no período 17 a 27 de julho de ...
O Estado de Alagoas publicou no Diário Oficial desta quarta (17) o edital do Processo Seletivo Simplificado para a contratação temporária de profissionais para o Hospital da Mulher.
LEIA TAMBÉM
As inscrições serão realizadas no período 17 a 27 de julho de 2019, exclusivamente on-line e de forma gratuita no endereço eletrônico disponível www.saude.al.gov.br.
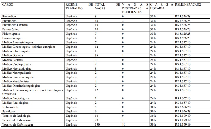
Foram abertas 362 vagas para 25 cargos, com salários entre R$ 1.179,19 a R$ 4.657,10. O contrato será pelo período máximo de 24 meses, mas de acordo com o secretário de Saúde de Alagoas, Alexandre Ayres, até o final deste ano deve haver concurso na área, para contratação permanente.
Leia também: Hospital da Mulher: Governo anuncia edital com 362 vagas
O processo seletivo será realizado em duas etapas: a inscrição on-line e a entrega de comprovantes de experiência e títulos, quando convocados, sendo em caráter classificatório e eliminatório.
O edital e outros detalhes do processo estão disponíveis no endereço eletrônico www.sesau.al.gov.br.
Veja todos os cargos e número de vagas:

LEIA MAIS
+Lidas