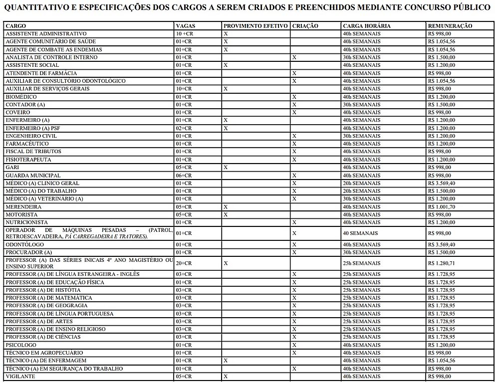
A prefeita Conceição Albuquerque (MDB), do município de Maravilha, no interior de Alagoas, sancionou uma lei que cria cerca de 120 vagas para cargos efetivos de níveis fundamental, médio e superior. Os cargos serão preenchidos por meio de concurso p&uac...
A prefeita Conceição Albuquerque (MDB), do município de Maravilha, no interior de Alagoas, sancionou uma lei que cria cerca de 120 vagas para cargos efetivos de níveis fundamental, médio e superior. Os cargos serão preenchidos por meio de concurso público.
LEIA TAMBÉM
A informação foi publicada pela Prefeitura no Diário Oficial Eletrônico dos Municípios do Estado de Alagoas na última sexta-feira (29).
De acordo com a publicação, os salários podem ir de R$ 998 a R$ 3.569,40. O edital do concurso, porém, ainda vai ser divulgado.
O concurso vai escolher profissionais de diversas funções; confira:

LEIA MAIS
+Lidas