SMTT inicia cronograma de vistorias dos táxis em Maceió

A Superintendência Municipal de Transportes e Trânsito (SMTT) iniciou, nesta segunda-feira (22), as vistorias anuais e obrigatórias aos táxis que atuam na capital.

Publicado em 22/02/2021, às 16h40
Imagem SMTT inicia cronograma de vistorias dos táxis em Maceió

Por Ascom Maceió

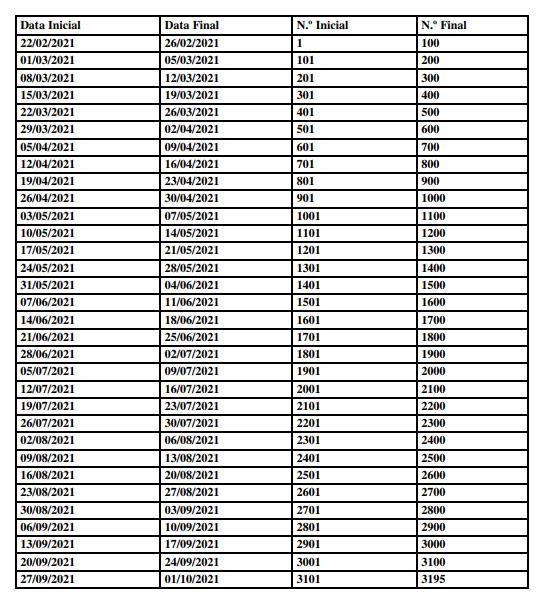
A Superintendência Municipal de Transportes e Trânsito (SMTT) iniciou, nesta segunda-feira (22), as vistorias anuais e obrigatórias aos táxis que atuam na capital. O procedimento segue datas definidas pelas equipes técnicas e divulgadas na portaria nº 014, publicada na edição de 12 de fevereiro de 2020, no Diário Oficial do Município (DOM).

Para realizar o procedimento, é necessário o agendamento prévio no site. Ao acessar o endereço eletrônico, o taxista permissionário precisa efetuar o cadastro e clicar no botão “Renovação táxi 2021”. Neste passo, selecionará entre os dias e horários disponíveis para a permissão.

Após realizar todos esses passos, receberá uma confirmação no e-mail que foi cadastrado.Durante a renovação da licença, o motorista permissionário deverá efetuar o pagamento referente à taxa de renovação anual no valor de R$ 141,68. Já no dia da vistoria, é necessária a apresentação de originais e cópias das certidões criminais estadual e federal negativadas, Carteira Nacional de Habilitação (CNH) apta para transporte remunerado de passageiros, RG, CPF, comprovante de residência atualizado no nome do permissionário de até 90 dias.

Além disso, o condutor deverá apresentar o documento do veículo, aferição do taxímetro, Carteira de Permissionário, duas fotos 3X4, certificado do curso e selo do Gás Natural Veicular (GNV), quando possuir.“Enquanto órgão gestor de transportes e trânsito, a SMTT deve garantir que esses veículos estejam em excelentes condições. Desta forma, as vistorias são necessárias para garantir que os maceioenses que utilizam o serviço de táxi possam se deslocar pela capital fazendo uso de veículos seguros, evitando o risco de acidentes”, afirma o gestor da SMTT, André Costa.

Gostou? Compartilhe